Работает консультант - Разбор анализов гормонов, помощь специалиста | Страница 1207 | Бодибилдинг форум AnabolicShops - программа тренировок, питание, анаболики и стероиды

Официальный магазин Pharmacom Labs Genetrip Market - Всё для потенции, секса и пкт! Официальный представитель Zphc Anaboliki
Курсы стероидов FarmaCent Курсы стероидов AnabolicShops РуБел Фарма
  1. Гость На форуме функционирует уникальный сервис - "Гарант Сделок"! Все подробности в этой теме!
    Скрыть объявление
Скрыть объявление

Официальный ТГ канал Pharmacom Labs

Скидки на анализы | Новости, акции, розыгрыши
Консультации специалистов    |   Живое общение

Официальный ТГ канал Pharmacom Labs

Программа тренировок -  AnabolicShops Программа тренировок -  AnabolicShops Hima Pro Real Pump

Работает консультант Разбор анализов гормонов, помощь специалиста

Тема в разделе "ПКТ и Травмы", создана пользователем LeoNid, 10 май 2014.



  1. DimoEstro
    Онлайн

    DimoEstro mr.Champion Тестер нашей площадки Клан МСК

    Сообщения:
    13,710
    Оценки:
    +29,903 / 285
    У меня нет шансов)
     
    • Смешно! Смешно! x 1
  2. Evil

    Evil mr.Champion

    Сообщения:
    8,625
    Оценки:
    +25,772 / 251
    Дополнительно::
    Консультант
    Индивидуально и зависит от дозировок.
    Без особой привязки к гспг, непонятно - зачем ставить соло тест
     
    • Нравится! Нравится! x 1
  3. DimoEstro
    Онлайн

    DimoEstro mr.Champion Тестер нашей площадки Клан МСК

    Сообщения:
    13,710
    Оценки:
    +29,903 / 285
    В
    Вчера спина болела!?
     
    • Смешно! Смешно! x 1
  4. mcLaud

    mcLaud Амбал

    Сообщения:
    78
    Оценки:
    +14 / 1
    Да тут на Ютубе с одним челом вступили в полемику на тему того, что все пишут что у них на тесте либидо бешеное, стояк бешеный,настроение прекрасное, а я написал что ничего такого не чувствую прямо чтобы явно . А он мне и говорит - так у тебя ГСПГ повышен, и все что ты ставишь бестолку, он все связывает. Вот я и призадумался

    Да вроде не планировал пока. Думал может есть какой-то общеизвестный 100%-но достоверный факт зависимости ГСПГ от уровня теста (либо повышает либо снижает)
     
  5. mcLaud

    mcLaud Амбал

    Сообщения:
    78
    Оценки:
    +14 / 1
    270-300 мг в неделю если

    пока нет четкого понимания что можно добавить,сколько и зачем. Думаю на эту тему.
     
  6. DimoEstro
    Онлайн

    DimoEstro mr.Champion Тестер нашей площадки Клан МСК

    Сообщения:
    13,710
    Оценки:
    +29,903 / 285
    Провирон добавь 50 в день и все будет хорошо.
     
    • Нравится! Нравится! x 1
  7. dbyyb

    dbyyb Цель 212 lb Выступающий спортсмен Тестер нашей площадки

    Сообщения:
    23,240
    Оценки:
    +37,127 / 403
    А ещё люди пиздеть могут
     
    • Согласен с автором! Согласен с автором! x 3
    • Нравится! Нравится! x 1
  8. Dimm
    Онлайн

    Dimm mr.Champion

    Сообщения:
    2,219
    Оценки:
    +4,153 / 46
    Ага, тоже не раз читал такие высказывания. Только вот в 100 из 100, оказывалось что человек пиарит какую-то марку анаболиков или магазин.
    А попроще сказать, пиздит.
     
    • Нравится! Нравится! x 1
  9. mcLaud

    mcLaud Амбал

    Сообщения:
    78
    Оценки:
    +14 / 1
    Да там ничего не пиарили, не в этом был контекст разговора и самого ролика . Меня сама мысль, что "чем больше теста ставишь,тем сильнее растет ГСПГ, и давит этот тест" напрягла.

    А он что-то дает в плане кача ? Это же вроде не анаболик?
    Или "хорошо" - имеешь ввиду либидо и т.д. ?

    А так думаю может к 250-300 теста добавить 100 мг нандролона деканоата в неделю ? Есть вообще смысл в такой дозе ? Или нужно больше?
     
  10. DimoEstro
    Онлайн

    DimoEstro mr.Champion Тестер нашей площадки Клан МСК

    Сообщения:
    13,710
    Оценки:
    +29,903 / 285
    Нандролоны пока оставь. Просто попробуй 500 тест в неделю и провирон 50 на недельки три. Потом отпишешь тут
     
    • Нравится! Нравится! x 1
  11. Dimm
    Онлайн

    Dimm mr.Champion

    Сообщения:
    2,219
    Оценки:
    +4,153 / 46
    Если вколоть 500 мг тестостерона и сдать анализы за свободный тестостерон, то его там дохрена. И гспг не свяжет его в таком количестве.
    А провирон хороший снизит гспг, и сам по себе он повышает настроение и сексуальную активность.
     
    • Нравится! Нравится! x 1
  12. Алекс к

    Алекс к mr.Champion Тестер нашей площадки

    Сообщения:
    16,386
    Оценки:
    +47,382 / 276
    Пробовал разные, уж наверняка был хороший из них, но никаких перемен не заметил.
     
    • Нравится! Нравится! x 2
    • Согласен с автором! Согласен с автором! x 2
    • Автор Красавчик! Автор Красавчик! x 2
  13. rust

    rust Маслянные булки

    Сообщения:
    972
    Оценки:
    +1,110 / 6
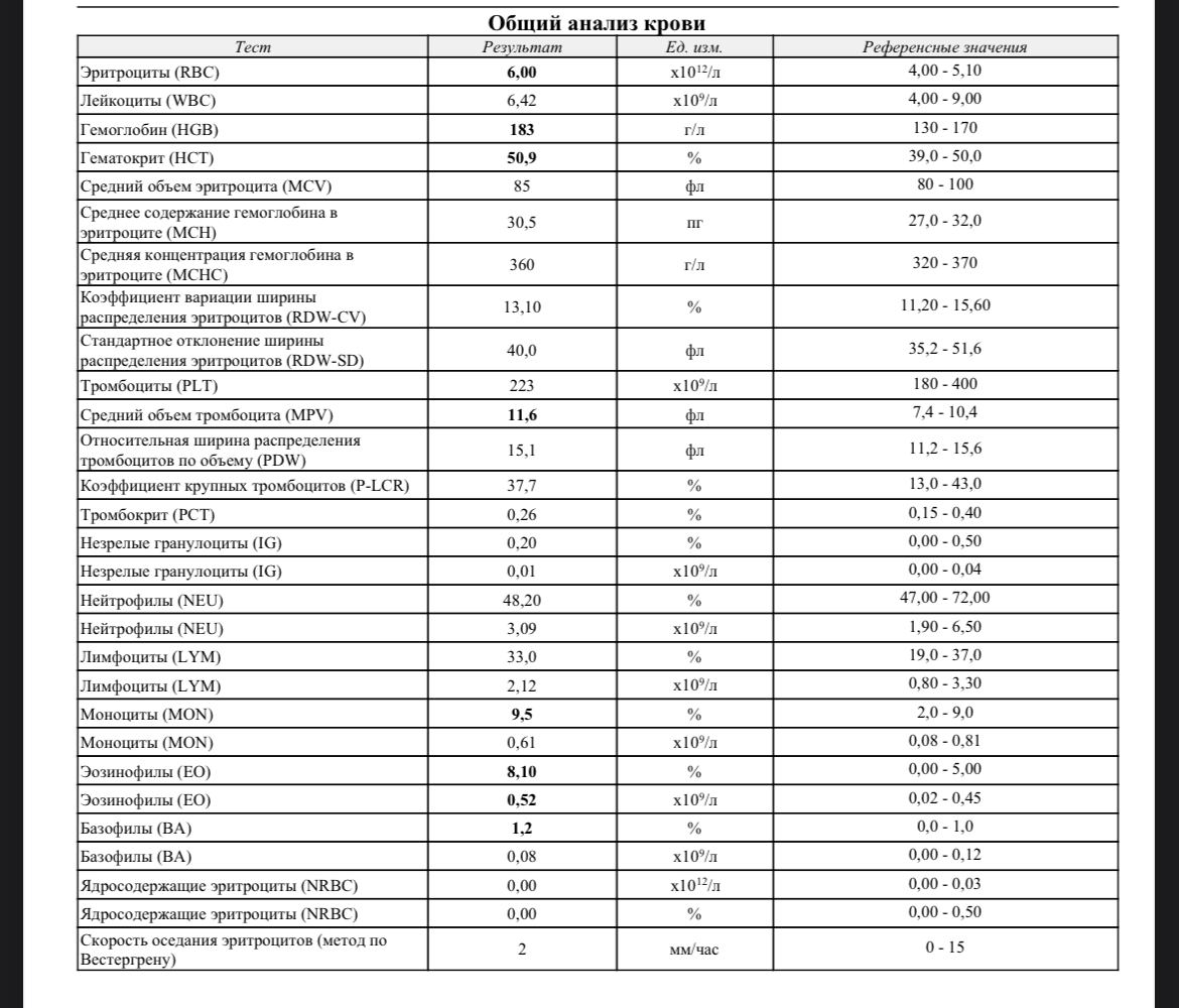
    Добрый день, подскажите пожалуйста что не так с анализами Разбор анализов гормонов, помощь специалиста - Бодибилдинг форум AnabolicShops Разбор анализов гормонов, помощь специалиста - Бодибилдинг форум AnabolicShops
     
  14. gasja
    Онлайн

    gasja 500 мл абсента в сутки Тестер нашей площадки

    Сообщения:
    3,677
    Оценки:
    +7,248 / 73
    Типичный оак на курсе. Кровь густеет. На данном этапе достаточно увеличить количество воды. Ну и антикоагулянты для профилактики тромбоза по желанию.
     
  15. rust

    rust Маслянные булки

    Сообщения:
    972
    Оценки:
    +1,110 / 6
    а что про повышенные моноциты , базофилы и эозинофилы можете сказать?
     
  16. gasja
    Онлайн

    gasja 500 мл абсента в сутки Тестер нашей площадки

    Сообщения:
    3,677
    Оценки:
    +7,248 / 73
    Это может указывать на наличие
    паразитарных и аллергических заболеваний, а также на инфекционные процессы в организме.
    Не болели или не болеете ничем сейчас?
     
    • Нравится! Нравится! x 1
  17. MOHAX
    Онлайн

    MOHAX Маслянные булки

    Сообщения:
    484
    Оценки:
    +1,648 / 17
    АТ-ТПО видишь, что выше нормы? Группа раска по заболеванию АИТ.
    Пока ТТГ и Т4, Т3 нормальные - все хорошо. Но как только ТТГ выскачет за пределы 4 МЕ, то вероятность начала АИТ.
    А возможно АИТ и не начнется.
     
    • Автор Красавчик! Автор Красавчик! x 3
    • Нравится! Нравится! x 2
  18. rust

    rust Маслянные булки

    Сообщения:
    972
    Оценки:
    +1,110 / 6
    Болел месяц назад, на кануне сдачи анализов вечером поставил инъекцию, может на нее анализ показывает алергию
     
  19. rust

    rust Маслянные булки

    Сообщения:
    972
    Оценки:
    +1,110 / 6
    Насколько знаю аит не лечится
     
    • Согласен с автором! Согласен с автором! x 1
  20. gasja
    Онлайн

    gasja 500 мл абсента в сутки Тестер нашей площадки

    Сообщения:
    3,677
    Оценки:
    +7,248 / 73
    Вполне может такое быть!
     
    • Нравится! Нравится! x 2