-
Гость На форуме функционирует уникальный сервис - "Гарант Сделок"! Все подробности в этой теме!Скрыть объявление
Скрыть объявление
Официальный ТГ канал Pharmacom Labs
Скидки на анализы | Новости, акции, розыгрыши
Консультации специалистов | Живое общение
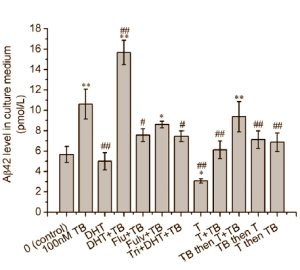
Полезно знать! Тренболон может увеличить риск болезни Альцгеймера
Тема в разделе "Препараты AAC", создана пользователем Amenadiel, 30 июн 2021.
Страница 1 из 5











